1. 문제
20304번: 비밀번호 제작
서강대학교 전산실에서 보안직원으로 일하는 향빈이는 한 통의 이메일을 받게 되었다. 이메일에는 서버 관리자 계정에 대한 비정상적인 로그인 시도가 감지되었다는 내용이 적혀 있었고, 첨부
www.acmicpc.net
2. 풀이
결과적으로 어떤 답을 만들어내야 하는가가 다소 헷갈릴 수 있는 문제의 유형이라 생각한다. 그 중 먼저 문제의 핵심인 안전거리와 안전도를 판단하는 방법을 알아본다.
2.1 안전거리와 안전도
3, 4 두 가지의 비밀번호가 입력된 적 있을 때, 2라는 비밀번호를 설정했을 때의 안전거리를 알아보자. 먼저 2, 3, 4를 이진수로 변환하면 아래와 같다.
- 3: 0011
- 4: 0100
- 2: 0010
(2,3)의 경우 서로다른 비트가 한 개이기 때문에 안전거리는 1, (2,4)의 경우 두 개가 다르기 때문에 안전거리는 2다. 하지만, 안전도는 둘 중 작은 값인 1이 안전도가 된다. 즉, 입력 받은 모든 비밀번호와 새 비밀번호의 안전거리 중 가장 작은 값이 안전도가 된다.
2.2 풀이 방법 유추
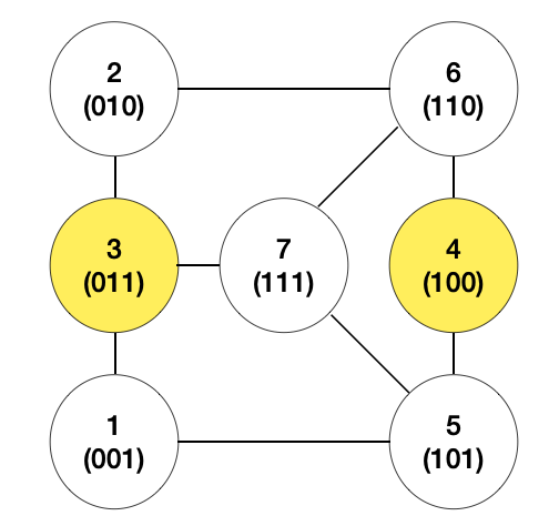
여기서 우리는 이 문제를 조금 더 추상화할 수가 있다. 입력받은 적 있는 비밀번호를 그래프에서의 시작 노드라고 보고, 새로 설정할 비밀번호를 도착 노드라고 본다면 다음과 같은 그래프를 만들 수 있다. 비밀번호를 1 ~ 7(3bit)까지만 입력 가능하다고 가정하자.

시작노드를 제외한 모든 노드는 최소 1 안전거리를 통해 도달할 수 있게 되고, 해당 값이 최대값이므로 문제의 정답인 안전도는 1이 된다. 즉, 시작노드들로부터 BFS로 하나씩 뻗어나가면서 가장 길게 뻗어나갈 수 있는 거리를 탐색하면 되는 문제였다.
그럼 이진수에서 비트를 하나씩만 변경해서 어떻게 이동할 수 있을까?
2.3 비트마스크
XOR 연산을 사용하면 가볍게 해결할 수 있다. 앞서 예시로 들었던 3을 통해 살펴보자.
- 3 : 0011
- 3 ^ (1 << 0) : 0011 ^ 0001 = 0010
- 3 ^ (1 << 1) : 0011 ^ 0010 = 0001
- 3 ^ (1 << 2) : 0011 ^ 0100 = 0111
- ...
1을 왼쪽 시프트 연산을 통해서 XOR 연산을 수행한다면 한 자리씩만 바꿔가며 숫자를 만들어낼 수가 있다! 비트마스크 만세!
그럼 이제 BFS와 비트마스크 연산을 통해 다음 노드들을 만들어가며 탐색할 수 있으므로 구현만 하면 된다.
3. 소스코드
public class Main {
static int N, M;
static int[] visit;
public static void main(String[] args) throws IOException {
BufferedReader br = new BufferedReader(new InputStreamReader(System.in));
BufferedWriter bw = new BufferedWriter(new OutputStreamWriter(System.out));
N = Integer.parseInt(br.readLine());
M = Integer.parseInt(br.readLine());
visit = new int[N + 1];
Arrays.fill(visit, -1);
Queue<Integer> q = new LinkedList<>();
StringTokenizer st = new StringTokenizer(br.readLine());
for (int i = 0; i < M; i++) {
int n = Integer.parseInt(st.nextToken());
q.add(n);
visit[n] = 0;
}
bw.write(bfs(q) + "");
bw.flush();
bw.close();
br.close();
}
static int bfs(Queue<Integer> q) {
int ans = 0;
while (!q.isEmpty()) {
int now = q.poll();
for (int i = 0; i < 20; i++) {
int next = now ^ (1 << i);
if (N < next || visit[next] != -1) continue;
visit[next] = visit[now] + 1;
q.add(next);
ans = Math.max(ans, visit[next]);
}
}
return ans;
}
}
[Platinum 5] 20304번 비밀번호 제작 by kwanik-kor · Pull Request #25 · kwanik-kor/BOJ
20304번 비밀번호 제작 1. 풀이 결과적으로 어떤 답을 만들어내야 하는가가 다소 헷갈릴 수 있는 문제의 유형이라 생각한다. 그 중 먼저 문제의 핵심인 안전거리와 안전도를 판단하는 방법을 알아
github.com
'Algorithm > 문제풀이' 카테고리의 다른 글
| [ 백준 1759번 ] 암호 만들기 (1) | 2023.03.01 |
|---|---|
| [ 백준 2642번 ] 전개도 (0) | 2023.02.21 |
| [ 백준 9742 ] 순열 (0) | 2023.02.17 |
| [ 백준 14534번 ] String Permutation (0) | 2023.02.14 |
| [ 백준 6148번 ] Bookshelf 2 (0) | 2023.02.13 |